Canadian Finals Rodeo - November 6 – 10, 2013
Rexall Place, Edmonton, Alberta

Pro Rodeo Canada
November 9, 2013 - Evening Performance
For immediate release

Forty Eight Cents
 

Kyle BowersAfter more than 40 rodeos and five performances of the Canadian Finals Rodeo, less than half a dollar separates three time Canadian Bareback Champion, Kyle Bowers; and nine time CFR qualifier Matt Lait. While Bowers holds onto that slender margin heading into Sunday’s Championship finale, Lait has the upper hand in the aggregate which pays the same as a go-round. Lait sits at 423 points on five rides with Bowers right behind at 419.5 on his five efforts.

After his Saturday night go-round win, Bowers talked about the race and his 86.5 ride, “Kesler Rodeo’s Western Star is not big but he has a lot of heart and try. I’m happy it worked out tonight. I watched Matt (Lait) earlier this week on the horse. I think he made it look easier than I did but he bucked off just after the eight seconds too.” Bowers went on to say, “If I can beat Matt tomorrow, I’ll have a shot at the title. The fact that it’s a race gets the competitive juices flowing. I can’t say I wouldn’t like to have the championship wrapped up tonight but I’m looking forward to the race tomorrow.”

Another tight race heading into the final day of the CFR is in the saddle bronc riding where Bracken, Saskatchewan cowboy Rylan Geiger clings to a slender lead over hard-charging two time world champion Taos Muncy of Corona, New Mexico. Geiger has won $34,000 to date at the finals and leads Muncy by just 2.25 points in the aggregate total. Muncy has made the biggest move of any competitor at this finals, having climbed from twelfth coming in, to second place overall, courtesy of two firsts, a second and a third for $37,000 in CFR earnings.

Saturday night saw the crowning of three cLisa Lockharthampions in rodeo’s youth events. Kody Lamb, the novice bareback rider from Sherwood Park, Alberta, added a Canadian novice title to his earlier Calgary Stampede championship.

Second generation novice saddle bronc rider Zeke Thurston, from Big Valley, Alberta, added the 2013 novice title to his steer riding championship of a few years ago.

And Barrhead, Alberta’s Kagen Schmidt, made it two in a row in the steer riding with a dominating Canadian Finals Rodeo performance to capture the 2013 title.

A fourth championship was clinched tonight, when three time Canadian Barrel Racing Champion, Lisa Lockhart of Oelrichs, South Dakota, continued her run-away dominance by adding a fourth go-round win in five performances. Her $44,000 earnings to date, have lifted the talented American cowgirl to over $68,000 in season earnings in Canada alone.

Complete results for the fifth performance of the Canadian Finals Rodeo included:

EDMONTON, AB – The following are the results of the fifth performance of the Canadian Finals Rodeo (CFR) held at Rexall Place at Northlands on Saturday, November 9, 2013.

Kody LambBAREBACK 1. Kyle Bowers, Brooks, AB, 86.50, $11,467.84; 2. Clint Laye, Cadogan, AB, 85.50, $8,527.37; 3. Michael Solberg, Sunnynook, AB, 84.25, $5,586.90; 4 Matt Lait, Cayley, AB, 82.50, $2,646.42; 5. Logan Hodson, Telkwa, BC, 81.00, $1,176.19.

Total Season Earnings 1. Kyle Bowers, $51,392.01; 2. Matt Lait, $51,391.53; 3. Jake Vold, $48,107.71; 4. Logan Hodson, $28,734.93; 5. Clint Laye, $28,258.50.

STEER WRESTLING 1/2. Straws Milan, Cochrane, AB, 3.7, $9,997.60; 1/2. Clayton Moore, Pouce Coupe, BC, 3.7, $9,997.60; 3. Morgan Grant, Granton, ON, 4.0, $5,586.90; 4.Cody Cassidy, Donalda, AB, 4.1, $2,646.42; 5. Harley Cole, Cochrane, AB, 4.4, $1,176.19.
Total Season Earnings 1. Clayton Moore, $47,980.96; 2. Hunter Cure, $39,308.25; 3. Justin Miller, $37,966.61; 4. Straws Milan, $36,779.74; 5. Cody Cassidy, $35,717.56

NOVICE Bareback 1. Philippe Harvey, Cochrane, AB, 77.00, $1,200; 2.Jacob Stemo, Calgary, AB, 75.00, $800.

Total Season Earnings 1. Kody Lamb, $10,735.65; 2. Philippe Harvey, $10,130.98; 3. Jacob Stemo, $5,928.24.
* KODY LAMB - 2013 CANADIAN CHAMPION BAREBACK RIDER

Zeke ThurstonNOVICE Saddlebronc 1. Jake Watson, Hudson Hope, BC, 78.00, $1,200; 2. Kale Mckenzie, Rocky Mountain House, AB, 68.00, $800.

Total Season Earnings 1. Zeke Thurston, $8,734.10; 2. Kale Mckenzie, $8,621.26; 3. Jake Watson, $5,790.32.
* ZEKE THURSTON - 2013 CANADIAN CHAMPION SADDLE BRONC RIDER

Boys STEER RIDING 1.Dawson Hay, Wildwood, AB, 83.00, $750.01; 2. Cameron Brown, Cremona, AB, 79.00, $450.00; 3.Kagen Schmidt, Barrhead, AB, 73.50, $300.00.

Total Season Earnings 1. Kagen Schmidt, $8,169.87; 2. Dawson Hay, $7,046.62; 3. Cameron Brown, $5,793.27; 4. Connor Faucher $4,491.74; 5.Griffin Smeltzer $4,221.03.
* KAGEN SCHMIDT - 2013 CANADIAN CHAMPION STEER RIDER

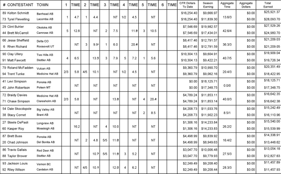
TEAM ROPING 1. Clay Ullery, Two Hills, AB, $5,660.01 & Matt Fawcett, Stettler, AB, $5,660.01, 5.6; 2. Dale Skocdopole, Big Valley, AB, $4,208.73 & Stacy Cornet, Brant, AB, $4,208.73, 8.5; 3. Clint Buhler, Okotoks, AB, $2,757.44 & Brett McCarroll, Camrose, AB, $2,757.44, 10.5; 4.Braidy Davies, Medicine Hat, AB, $1,306.16 & Chase Simpson, Clareshold, AB, $1,306.16, 20.4.

Total Season Earnings Header 1. Clint Buhler, $27,529.26; 2. Kolton Schmidt, $25,921.37; 3. Jesse Sheffield, $21,209.03; 4. Roland McFadden, $20,351.49; 5. Clay Ullery, $19,909.04.

Kagen SchmidtTotal Season Earnings Heeler 1. Tyrel Flewelling, $28,093.70; 2. Brett McCarroll, $24,980.70; 3. Rhen Richard, $21,209.05; 4. Matt Fawcett, 19,726.34; 5. Trent Tunke, $18,422.95.

SADDLE BRONC 1. Taos Muncy, Corona, NM, 83.00, $11,467.84; 2. Rylan Geiger, Bracken, SK, 82.75, $8,527.37; 3. Jim Berry, Rocky Mountain House, 81.00, $5,586.90; 4. Sam Kelts, Millarville, AB, 80.75, $2,646.42; 5. Dustin Flundra, Pincher Creek, AB, 78.50, $1,176.19

Total Season Earnings 1. Rylan Geiger, $51,578.03; 2. Taos Muncy, $47,799.18; 3. Cort Scheer, $39,612.65; 4. Chet Johnson, $39,284.48; 5. Tyler Corrington, $36,920.21.

TIE-DOWN ROPING 1. Ryle Smith, Oakdale, CA, 8.1, $11,467.84; 2. Dean Edge, Rimbey, AB, 8.5, $8,527.37; 3/4. Alwin Bouchard, Scandia, AB, 8.7, $4,116.66; 3/4. Timber Moore, Aubrey, TX, 8.7, $4,116.66; 5. Morgan Grant, Granton, ON, 9.5, $1,176.19.

Total Season Earnings 1. Timber Moore, $42,244.06; 2. Morgan Grant, $39,302.77; 3. Curtis Cassidy, $33,012.76; 4. Chad Johnson, $32,261.89; 5. Nate Baldwin, $28,934.39.

LADIES BARREL RACING 1. Lisa Lockhart, Oelrichs, SD, 14.556, $11,467.84; 2. Brenda Mays, Terrebonne, OR, 14.692, $8,527.37; 3.Deb Guelly, Okotoks, AB, 14.711, $5,586.90; 4. Britany Diaz, Mandan, ND, 14.791, $2,646.42; 5. Nancy Csabay, Taber, AB, 14.830, $1,176.19.

Nicole Briggs - Miss Rodeo CanadaTotal Season Earnings 1. Lisa Lockhart, $68,654.56; 2. Brenda Mays, $35,870.37; 3. Kim Schulze, $33,782.78; 4. Britany Diaz, $28,900.01; 5. Nikki Steffes, $31,304.85;
BULL RIDING 1. Chad Besplug, Claresholm, AB, 86.50, $11,467.84; 2. Scott Schiffner, Strathmore, AB, 84.00, $8,527.37; 3. Jordan Hansen, Okotoks, AB, 83.50, $5,586.90; 4/5. Beau Brooks, Cochrane, AB, 82.50, $1,911.31; 4/5. Tyler Thomson, Black Diamond, AB, 82.50, $1,911.31.

Total Season Earnings 1. Scott Schiffner, $48,541.31; 2. Dakota Buttar, $43,667.54; 3. Chad Besplug, $43,064.29; 4. Tanner Girletz, $42,192.61; 5. Tyler Thomson, $41,732.31

ALL AROUND 1. Travis Reay, $20,022.43; 2. Ky Marshall, $19,945.96

HIGH POINT 1. Morgan Grant, $73,825.22; 2. Chad Johnson, $45,710.50; 3. Curtis Cassidy, $44,737.64; 4. Rhen Richard, $34,720.53; 5. Logan Hodson, $29,530.06


Other Information:

Nicole Briggs was crowned Miss Rodeo Canada 2014 at the November 9 CFR matinee performance.

Rexall Place was sold out for the Saturday, November 9, 2013 evening performance of the Canadian Finals Rodeo with attendance at 16,638.

For more information and full results on Canadian Finals Rodeo, visit cfr.ca.

 
* Download pdf of this release
 
 
AGGREGATE RESULTS:
*
BAREBACK RIDING:
Bareback Aggregate
 
STEER WRESTLING:
Steer Wrestling
 
NOVICE SADDLE BRONC: ZEKE THURSTON - 2013 CANADIAN NOVICE SADDLE BRONC CHAMPION
Novice Saddle Bronc
 
NOVICE BAREBACK: KODY LAMB - 2013 CANADIAN NOVICE BAREBACK CHAMPION
Novice Barebac
 
STEER RIDING: KAGEN SCHMIDT - 2013 CANADIAN STEER RIDING CHAMPION
Steer Riding
 
TEAM ROPING:
Team Roping
 
SADDLE BRONC:
Saddle Bronc
 
TIE-DOWN ROPING:
Tie-Down Roping
 
LADIES BARREL RACING:
Ladies Barrel Racing
 
BULL RIDING:
Bull Riding
 

* * * * * * * * * * * * * * * * * * * * * * * *
* NOVEMBER 9 / 4TH PERFORMANCE RESULTS
* NOVEMBER 8 / 3RD PERFORMANCE RESULTS
* NOVEMBER 7 / 2ND PERFORMANCE RESULTS
* NOVEMBER 6 / 1ST PERFORMANCE RESULTS












AB Premium
Northlands
River Cree
Wrangler
Dodge Ram
CPRSMT
Twisted Tea
Horse Racing Alberta
Hall of Fame
Storm Front
Cook County
Ranchmans
Calgary Stampede
Parlee McLaws
TF Silverwks
Qualico
Ladies-Pro-Rodeo

Home Results Members Canadian Finals Rodeo Rodeo Blogs
  Schedule Standings Member Notes Canadian Champions Fans
  Entry Dates Wrangler Pro Tour Canadian Champions Past Champions Store / CPRA Merchandise
  Event Approvals Alberta Circuit Past Champions Media Website Links
    Prairie Circuit Member/Committee Info News Releases Contact Us
    Duane Daines SB Series Member Login/Web Entry Animal Welfare  
    Kenton Randle BB Series Board of Directors Canadian Rodeo News  
    Twisted Tea Rodeo Series Records and Statistics    
      Canadian Pro Rodeo News    

Canadian Professional Rodeo Association, 272245 R.R. 2 Airdrie, Alberta Canada T4A 2L5
Phone (403) 945-0903 . Fax (403) 945-0936 . Email cpra@rodeocanada.com
© Canadian Professional Rodeo Association. All rights reserved.
Site images by Mike Copeman unless otherwise noted. Website -
Red Hawk Communications